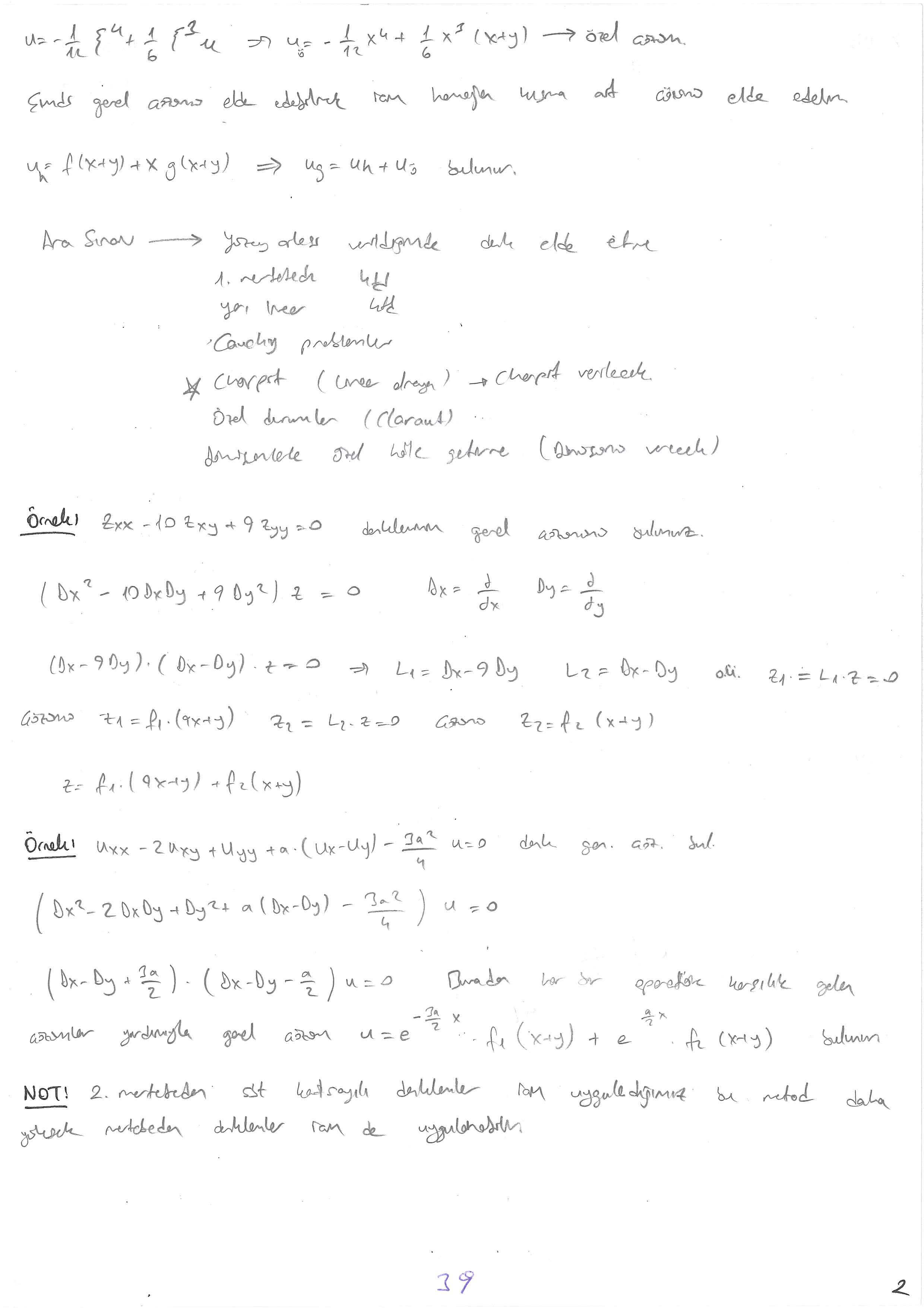
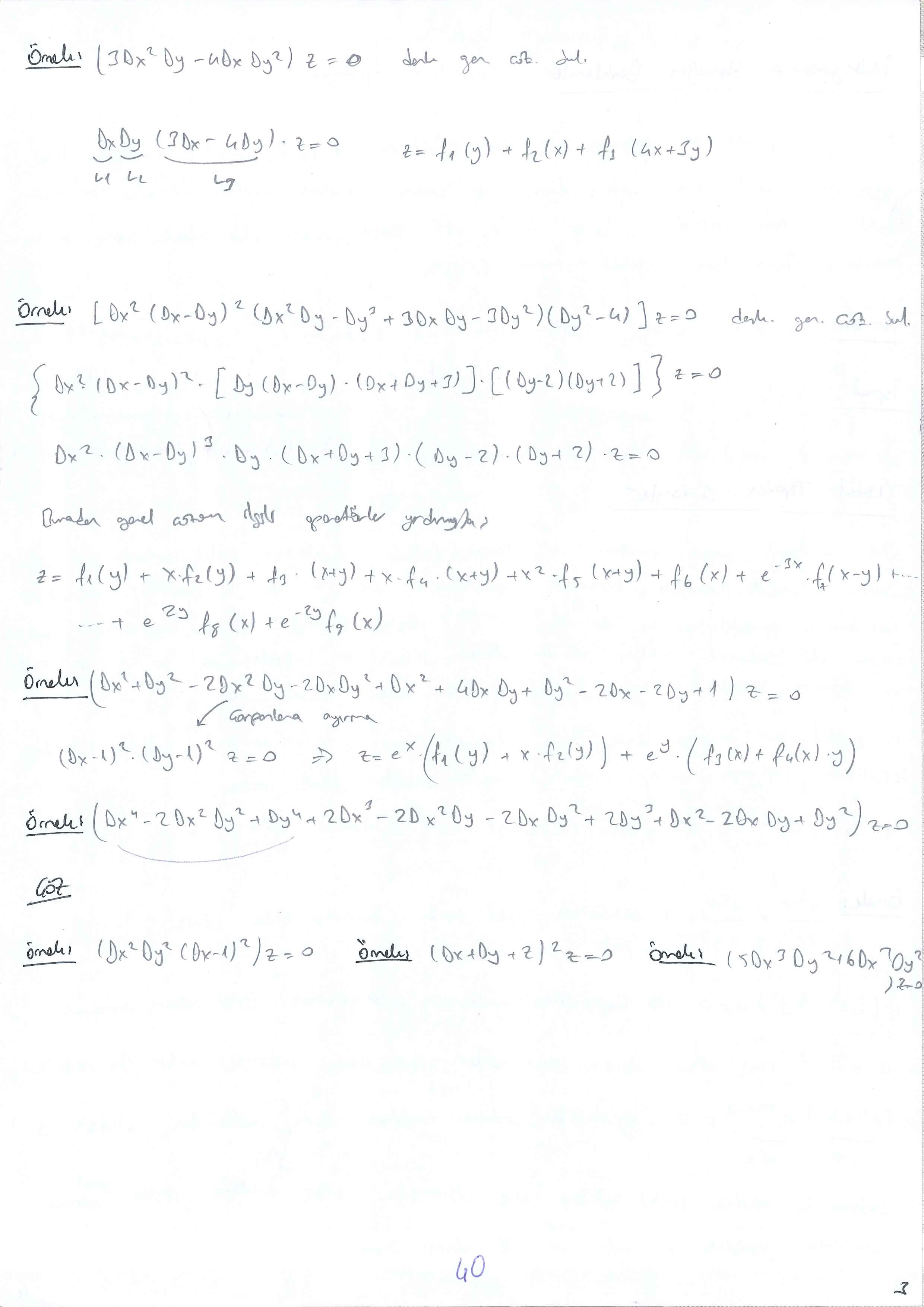
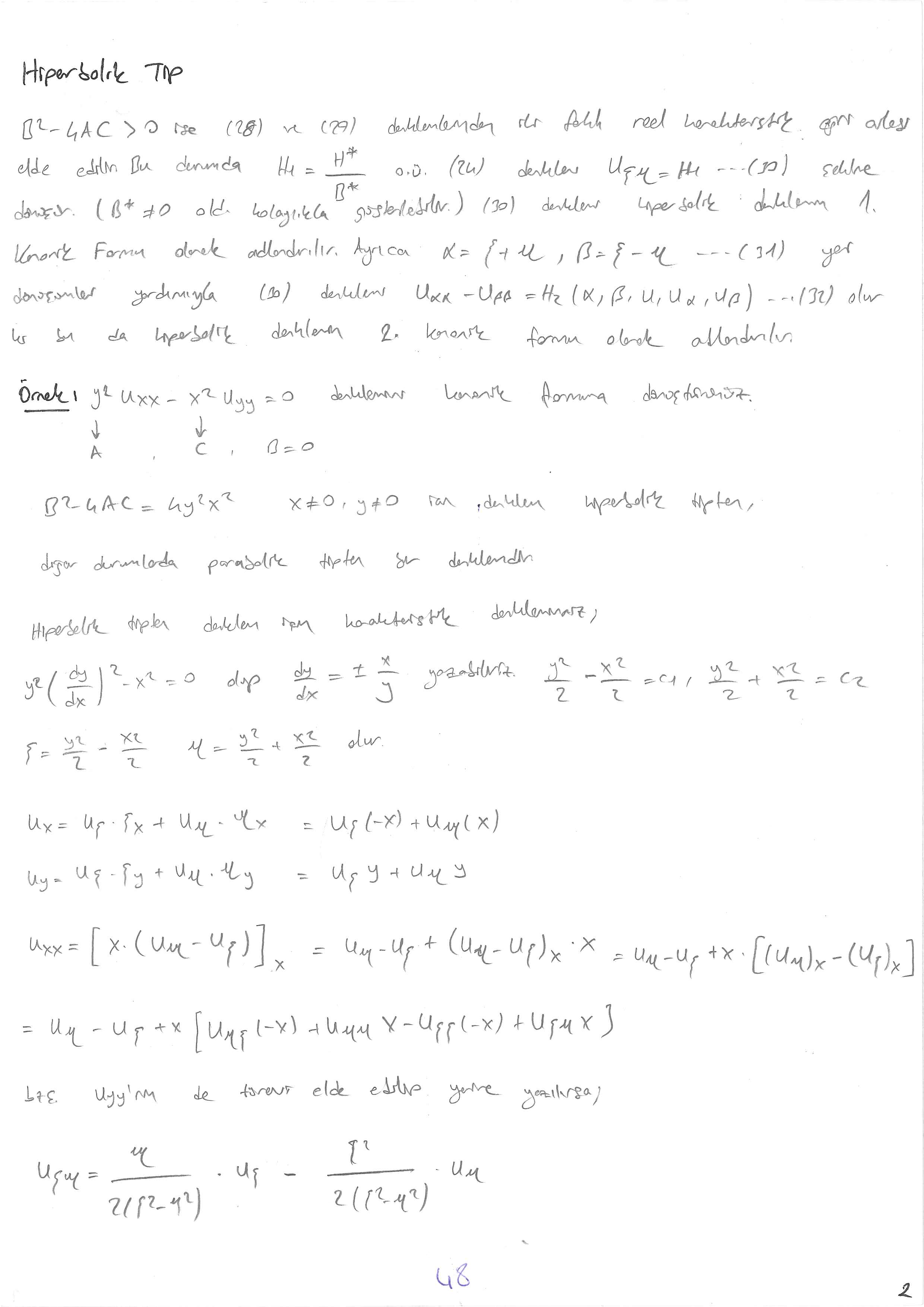
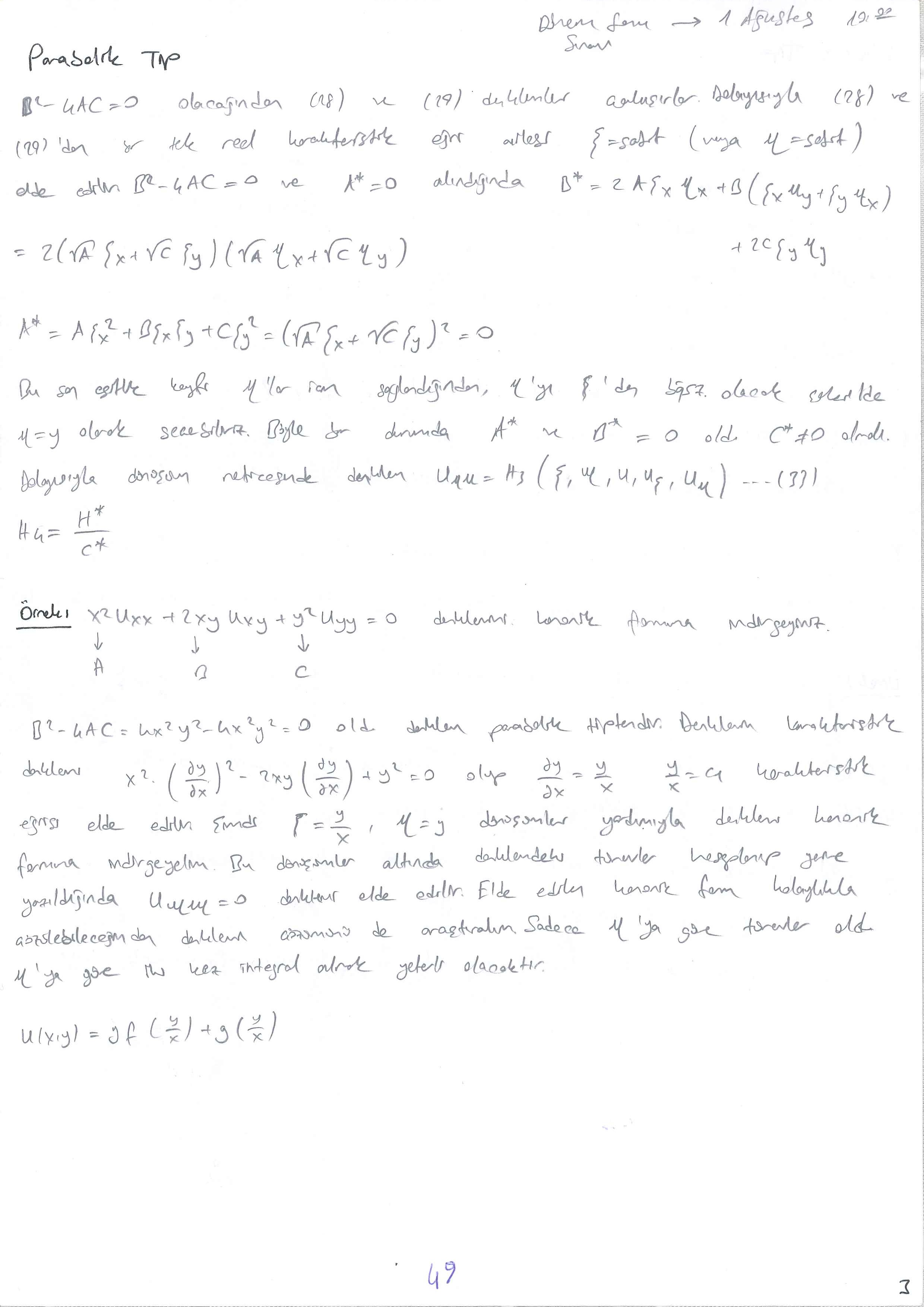
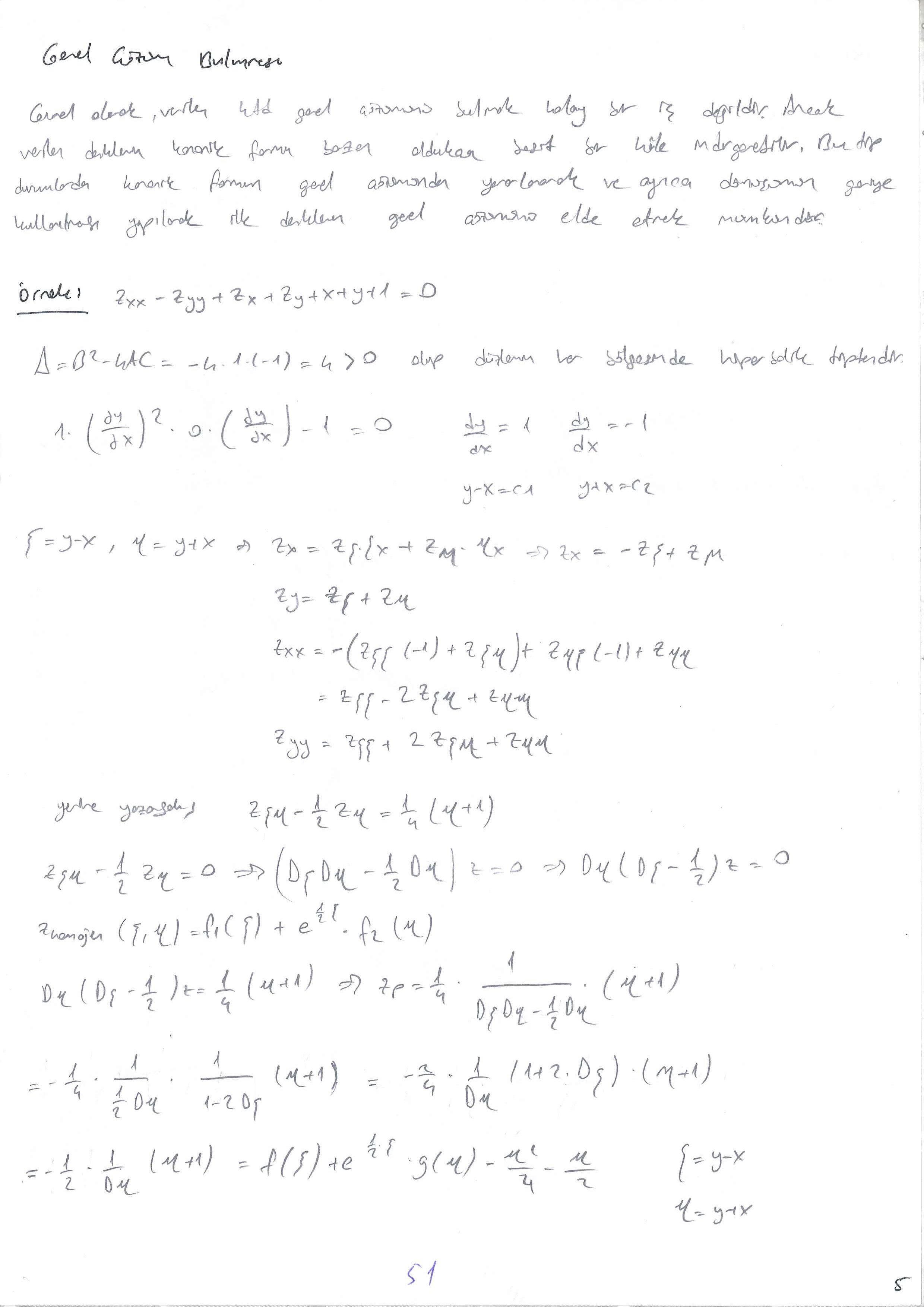
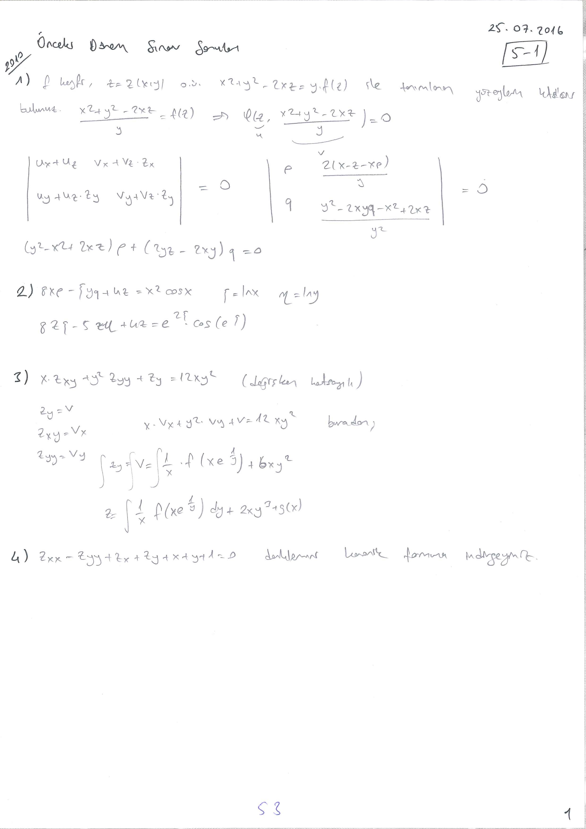
|
Matepedi'ye
Hoş Geldiniz!
Üniversite Matematik Ders
Notları
Matepedi.org,
üniversitelerin çeşitli bölümlerinde gösterilen
matematik derslerinin ders notlarını yayınlayan bir internet sitesidir. |
|
DERS:
Kısmi Türevli Diferansiyel Denklemler OKUL: T.C. Sakarya Üniversitesi
HOCA: Şevket GÜR |
|























































